HumanmedizinNews

Kostenvergleichsrechnung von flexiblen Mehrweg- und Einweg-Ureterorenoskopen in Bundeswehrkrankenhäusern

18.02.2019 •

Pascal Becker¹, Cord Matthies² und Christian Ruf³

¹Kommando Sanitätsdienst der Bundeswehr, Koblenz

²Bundeswehrkrankenhaus Hamburg

³Bundeswehrkrankenhaus Ulm

Hintergrund und Fragestellung

Die Ureterorenoskopie (URS) erlangt sowohl in Deutschland als auch in den Auslandseinsätzen der Bundeswehr eine immer größer werdende wehrmedizinische Relevanz [1]. Dabei ist in den letzten Jahren mit der Nutzungshäufigkeit der flexiblen URS auch die der Einweggeräte kontinuierlich gestiegen [2]. Neben der fachlichen Diskussion, ob Einweggeräte im Vergleich zu wiederverwendbaren Geräten qualitativ gleichwertig sind, ist eine ökonomische Betrachtung für die Bundeswehrkrankenhäuser (BwKrhs´er) ob des Wirtschaftlichkeitsgebotes zwingend. Dabei gilt es auch, deren Ausbildungsauftrag mit einer möglicherweise erhöhten Materialbeanspruchung der Instrumente zu berücksichtigen.

Ziel dieser Arbeit[1] ist eine Wirtschaftlichkeitsuntersuchung für die flexible URS in den BwKrhs´ern, um verlässliche ökonomische Argumente als Teil der Entscheidungsgrundlage über die Wahl von flexiblen Einweg- oder Mehrweg-URS zu erhalten.

Material und Methoden

Die Wirtschaftlichkeitsuntersuchung erfolgt mittels einer statischen Kostenvergleichsrechnung. Die Erlösseite dieser Investitionsentscheidung muss hierbei nicht betrachtet werden, da diese durch das pauschalierende DRG-System unverändert bleibt. Somit entspricht die Aussagekraft der Kostenvergleichsrechnung der einer Gewinnvergleichsrechnung.

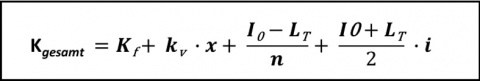
Die Gesamtkosten ergeben sich aus der Summe der Fixkosten, der variablen Kosten sowie der Kapitalkosten (Abbildung 1).


Photo

Abb. 1: Formel zur Kostenvergleichsrechnung (Kgesamt: Gesamtkosten; Kf: Fixkosten; kv: variable Stückkosten; x: durchschnittliche Menge
(hier: durchschnittliche Anzahl an Eingriffen pro Jahr); (l0 – lT)/n =
kalkulatorische Abschreibung; : Anschaffungsauszahlung der
Investition; LT: Liquidationserlös (Restwert am Ende der Nutzungsdauer);
n: voraussichtliche Nutzungsdauer; (l0 + lT)/2 . i = kalkulatorischer Zins; i: Kalkulationszinsfuß)

Die Fixkosten (z. B. Personalkosten, Equipment) unterscheiden sich bei der Verwendung von Mehrweg- oder Einweggeräten nicht und sind daher zu vernachlässigen. Die Kapitalkosten sind in dieser Berechnung entbehrlich, da die Nutzungsdauer aller Geräte unter einem Jahr liegt. Zu den variablen Kosten bei Mehrweggeräten zählen neben den Investitionskosten, die Kosten für Reparatur und Austausch sowie die Kosten für Reinigung, Aufbereitung und Sterilisation. Bei Einweggeräten kommen zu den Investitionskosten die Entsorgungskosten dazu.


Photo

Abb. 2: (A) Flexibles Mehrweg-Ureterorenoskop der Firma Karl
Storz SE & Co. KG, Tuttlingen; (B) Einweg-Ureterorenoskop des
Herstellers Boston Scientific Corp., Marlborough, Massachusetts,
USA (Abbildungen mit freundlicher Genehmigung der Hersteller)

Die Anzahl der Eingriffe mit einem flexiblen Ureterorenoskop wurde anhand von Auswertungen aus dem Krankenhausinformationssystem (Gesamtanzahl) und aus Sterilisationsprotokollen (Anzahl pro Gerät vor Reparaturaustausch) ermittelt. Die Investitionskosten wurden den Angeboten von Herstellern entnommen. Die Entsorgungskosten wurden mittels einer Gewichtspauschale für Krankenhausmüll berechnet, die aus dem Vertrag mit dem Entsorger entnommen wurden.Bei den Kosten für Reinigung, Aufbereitung und Sterilisation müssen wir uns ob fehlender Kostenstellenrechnung in den BwKrhs mit Literaturangaben und Näherungswerten behelfen.

Ergebnisse

Unter der Berücksichtigung einer durchschnittlichen Anzahl von 120 Eingriffen pro Jahr summieren sich die jährlichen Kosten bei der Verwendung von Mehrweggeräten auf 45.769,20 Euro, bei Einweggeräten auf 142.808,40 Euro.

Ein wiederverwendbares flexibles Ureterorenoskop kostet laut Herstellerangebot 15 315,30 Euro und kann für durchschnittlich 40 Eingriffe vor einem Defekt verwendet werden. Der Restbuchwert liegt bei 0 Euro. Bei Reparaturaustausch kostet das Ersatzgerät 9 520 Euro. Bei 120 Eingriffen pro Jahr haben wir somit 3 flexible Ureterorenoskope kalkuliert (zwei zum Originalpreis, eins als Reparaturaustausch). Dadurch ergeben sich Gerätekosten pro Eingriff in Höhe von 334,59 €.

Die Kosten pro Sterilguteinheit sind von den krankenhauseigenen Prozessen und Eigeneinheiten abhängig. Diese können zwischen 15,51 Euro und 49,95 Euro variieren, bei einem Median von 23,41 Euro. Ein flexibles Ureterorenoskop entspricht einer Sterilguteinheit. Wir berechnen diese Kosten doppelt, einmal für die Aufbereitung und einmal für die Sterilisation.

Die Gesamtkosten pro Jahr betragen somit für wiederverwendbare Geräte:


Photo

Ein flexibles Einweg-Ureterorenoskop kostet laut Herstellerangebot 1 190 Euro. Die Abfälle in einem Krankenhaus werden anhand von Abfallschlüsseln charakterisiert. Ein benutztes Ureterorenoskop fällt in die Gruppe mit dem Abfallschlüssel AS 18 01 04 (Abfälle, an deren Sammlung und Entsorgung aus infektionspräventiver Sicht keine besonderen Anforderungen gestellt werden). Die Entsorgung kostet hierbei 136,85 Euro/Tonne. Ein flexibles Ureterorenoskop wiegt inkl. Verpackung ca. 500 g. Dies ergibt Entsorgungskosten von 0,07 Euro pro Eingriff.

Die Gesamtkosten pro Jahr betragen somit für Einweggeräte:


Photo

Diskussion


Photo

Abb. 3: Kosten pro Jahr in Abhängigkeit von der Anzahl der Eingriffe

Unsere Daten zeigen, dass eine Strategie mit Einweggeräten ökonomisch nicht sinnvoll ist.

In den BwKrhs´ern, die zum einen als einen Kernauftrag die Weiterbildung haben und zum anderen einer hohen Personalrotation auf Seiten der Assistenzärzte unterliegen, ist ein höherer Verschleiß anzunehmen als in einem Krankenhaus, in dem die flexiblen Ureterorenoskope nur durch wenige, erfahrene Operateure genutzt werden. Die Anzahl von 40 Nutzungen pro Gerät vor einem Reparaturaustausch ist trotz des Weiterbildungsauftrages der BwKrhs´er sehr gut im Vergleich mit den Angaben in der Literatur, die zwischen 9 bis 50 – in einer Arbeit sogar über
 100 – Nutzungen liegen [4, 5].

Kosten können allerding nicht der einzige Faktor für eine Entscheidung für oder gegen die Verwendung von Einweggeräten sein. Die notwendigen Fakten für den ökonomischen Faktor hat diese Arbeit geliefert. Anforderungen an die Qualität sowie weitere Faktoren, die besonders in den Auslandseinsätzen relevant sind, zeigen einen Vorteil für die Nutzung von Einweggeräten:

  • keine Notwendigkeit einer aufwendigen Reinigung,
  • keine Reparaturkosten,
  • kein Ausfall der Geräte für die Zeit der Reparatur und des Versands,
  • Vermeidung von Keimbesiedlung und/oder
  • stetiger Zugriff, unabhängig von Prozessen außerhalb des OP-Saals.

Bei einer ökologischen Betrachtung müssen auf Seiten der Einweginstrumente die Abfallproblematik und die Vernichtung von Rohstoffen betrachtet werden, da aktuell kein regelhaftes Recycling bei Krankenhausmüll stattfindet. Auf Seiten der Mehrweg-instrumente stehen die Verwendung von Reinigungsmitteln und die Energiekosten für die Aufbereitung. Hier muss eine abschließende Gewichtung der Faktoren erfolgen.

Fazit für die Praxis

Auf Basis dieser Arbeit haben wir entschieden, wiederverwendbare flexible Ureterorenoskope für den Regelfall zu verwenden. Einweggeräte können kurzzeitige Engpässe bei den Geräten überbrücken und die Nutzung im Auslandseinsatz trainieren.

Literatur

  1. Hesse A, Brandle E, Wilbert D, Kohrmann K-U, Alken P: Study on the prevalence and incidence of urolithiasis in Germany comparing the years 1979 vs. 2000. European urology 2003; 44(6): 709 – 713.
  2. Leone NT, Garcia-Roig M, Bagley DH: Changing trends in the use of ureteroscopic instruments from 1996 to 2008. Journal of endourology/Endourological Society 2010; 24(3): 361 – 365.
  3. Chapman RA, Somani BK, Robertson A, Healy S, Kata SG: Decreasing cost of flexible ureterorenoscopy: single-use laser fiber cost analysis. Urology 2014; 83(5): 1003 – 1005.
  4. Karaolides T, Bach C, Kachrilas S, Goyal A, Masood J, Buchholz N: Improving the durability of digital flexible ureteroscopes. Urology 2013; 81(4): 717 – 722.
  5. Defidio L, Dominicis M de, Di Gianfrancesco L, Fuchs G, Patel A: Improving flexible ureterorenoscope durability up to 100 procedures. Journal of endourology/Endourological Society 2012; 26(10): 1329 – 1334.

Oberfeldarzt Dr. Pascal Becker
E-Mail: [email protected]

[1] Diese Arbeit entstand im Rahmen des Weiterbildungsstudienganges „Führung in der Medizin“, einem Kooperationsprojekt zwischen der Helmut-Schmidt-Universität/Universität der Bundeswehr Hamburg und dem Bundeswehrkrankenhaus Hamburg. Das entsprechende Modul „Controlling“ wurde von Frau Prof. Schäfer geleitet. Ihr und ihrer wissenschaftlichen Mitarbeiterin Frau Warm gilt unser Dank für die Betreuung und Begleitung.

Datum: 18.02.2019

Beitrag teilen

Das könnte Sie auch interessieren

Anzeige

Verwendete Schlagwörter

Bundeswehrkrankenhaus

DEF-JOBS

Index